2022-08-13 来源:成都万通汽车培训学校
关于为唐山市公安局古冶分局公开招聘公安辅警人员公告
为加强公安队伍建设,应古冶公安分局用工需求,拟面向社会为古冶公安分局公开招聘特巡警辅警队员20名。
一、招聘条件
1、政治立场坚定,遵守宪法和法律;
2、具有良好的品行和职业道德;
3、男性,高中以上学历(包括职高);
4、年龄在18周岁以上30周岁以下(2003年9月至1991年9月期间出生);
5、适应岗位要求的身体条件;
6、有唐山市户籍并在古冶区有固定住所。
7、同等条件下退役军人优先。
8、无纹身。
有下列情形之一的,不得报考
(1)曾因违法行为,被给予行政拘留、强制戒毒等限制人身自由的治安行政处罚的,有吸毒、涉毒违法记录的;
(2)曾受过刑事处罚或涉嫌违法犯罪尚未查清的;
(3)曾被开除党、团籍的;
(4)因违纪违规被开除、辞退、解聘的;
(5)家庭成员或近亲属被判处刑罚,本人或家庭成员及近亲属参加非法组织、邪教组织或从事其他危害国家安全活动的;
(6)有较为严重的个人不良信用记录的;
(7)有其他不适宜从事警务辅助工作的。
二、招聘程序
1、报名。报名时间:2021年10月11日至15日(工作日时间)上午9:00-11:30,下午2:00-5:00。报名地点:古冶区人社局人力资源市场大厅一层108室(唐家庄震兴道与爱民路交叉口)。提交材料:身份证、户口本、毕业证。
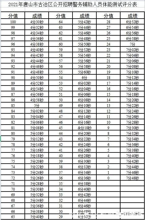
2、考试:体能测试加面试。先进行体能测试,体能测试达标者,再进行面试。体能测试项目:(1)1000米长跑(总分100分,达标标准为60分,评分表见附件);(2)摸高测试(达标标准为2.55米)。
3、体检、政审、聘用,时间另行通知。
三、工作性质
受聘人员为警务辅助人员,协助公安民警开展巡逻防控、卡口值守、接处警、治安管理、消防、应急处理、值班备勤、矛盾纠纷调处等工作。
四、用工形式
本次招聘的公安辅警采用劳务派遣用工形式,被录用人员与古冶区人力资源综合服务中心签订两年《劳动合同》,试用期2个月,试用期间考核不合格或被发现不符合招聘条件的,予以辞退。
五、岗位待遇
月工资标准为河北省最低工资标准+社会保险个人负担部分。聘用期间缴纳养老、工伤、失业、医疗、生育保险。
附件:1、2021年唐山市古冶区公开招聘警务辅助人员体能测试评分表
唐山市古冶区人力资源综合服务中心
2021年10月9日

预约报名咨询专线
19182122380 版权所有:成都万通汽车培训职业技能学校有限公司 蜀ICP 备1107724号